经济订货批量公式详解,如何实现总库存成本最低?

 二维码 140
发表时间:2025-08-10 13:02作者:订货小程序来源:网络整理

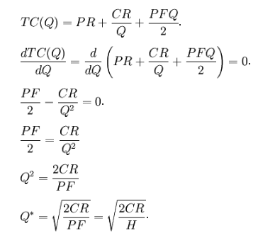
公式:Q*=SQRT(2*DS/C)

在计算经济订货批量时,我们需考虑商品年需求量(D)、每次订货的成本(S)以及单位商品年保管费用(C)。

经济订货批量,简称EOQ,它通过权衡采购和库存管理的成本,计算出使整体库存成本达到最低点的理想订货数量。这一概念属于固定订货批量模型范畴,旨在帮助企业确定单次采购(无论是外购还是自行生产)的合理数量。若企业依据经济订货批量进行采购,则能将采购成本与存储成本的总和降至最低。

经济订货批量模型是众多企业普遍采用的货物订购策略。此模型特别适用于那些需要整批分次进货且确保不发生缺货的仓储管理。在这种模式下,某种物资在单位时间内的需求量保持恒定,记为D,其库存量会以与消耗速度相同的D值逐渐减少。当经过时间T后,库存量降至零,此时便启动订货流程,货物随即到达,库存量从零增至最高点Q。随后,便进入下一个存储周期,从而构成了一个多周期的库存管理模型。

EOQ模型应用_订货系统软件价格_经济订货批量计算公式

扩展资料:

经济订货批量计算公式_EOQ模型应用_订货系统软件价格

为了制造特定产品,采购所需原材料时,应依据何种准则来决定采购量?如何确定一个合适的采购批量,以实现最大的投资回报?目前,已有成熟的文献能够解答这一问题。雷蒙德·费尔菲尔德在1931年所著的关于经济订购批量的著作中,提出了超过150个公式,用以应对各种可能出现的情形。自该书出版以来,众多作者对该议题进行了深入的研究,然而,在列举实例或提出解决方案时,他们反复提醒,依赖一套统一标准来应对问题存在风险。经济批量的大小,应当根据影响特定生产场景的各类外部条件来确定。

此类情形往往使得计算过程变得更加繁杂,同时,所涉及的数学运算也变得更加漫长且艰难。为了确保这些计算达到最佳效果,频繁获取最新信息是必要的。对于背负着庞大库存财务压力的企业而言,计算机在储备管理方面能够提供极具价值的协助。然而,人们还可以采取一种简化的处理方式,即采用经济批量法。此处理方式能够灵活变动,以满足各类需求,同时,该方法亦能拓展应用范围,便于在复杂环境中发挥效用。

在购置并储存这些物资的过程中,我们不仅要承担物资本身的购置成本,还需额外支付一系列费用,这些费用主要包括:资金占用产生的利息、订购物资的行政费用、以及各类储存费用,例如:建筑物的折旧、租赁费用、地方税费、供暖和照明费用、机械设备操作成本、仓库管理费用、员工薪资、存储物资的损耗和过时、建筑及物资的保险费用,以及物资因变质而报废的费用等。

参考资料:百度百科-经济订货批量

渠道分销供应链订货结算管理平台为您企业提供:客户在线商城订货、订单处理、智能拆单、多仓发货、营销推广、分销管控、资金对账、物流配送、在线分账、财税合规、大数据预警、大数据分析等业务环节“数字化”的一站式解决方案。电脑、APP、小程序、微信,全渠道端口,不限用户数量,欢迎详细了解,免费试用,视频演示讲解18269014756(微信同号)

小兆订货宝资讯

小兆订货宝资讯

副标题

订货系统行业资讯

订货系统行业资讯

副标题

签约新闻

签约新闻

副标题

在线客服
 
 
——————
全国服务热线
182-6901-4756
添加客服微信